CS229的作业的设置只能用贴合实际,变化丰富,质量极高 来形容。包含对于课堂上某些提到的性质,推论的证明与拓展,也有非常多的实践项目,更重要的是,有很多有趣的题目竟然可以将好几个lecture内的知识点穿起来,实在是巧妙至极。
以下答案中可能有错,欢迎大家指正
Problem Set 0 解读:#
problem 1#
1.Problem:

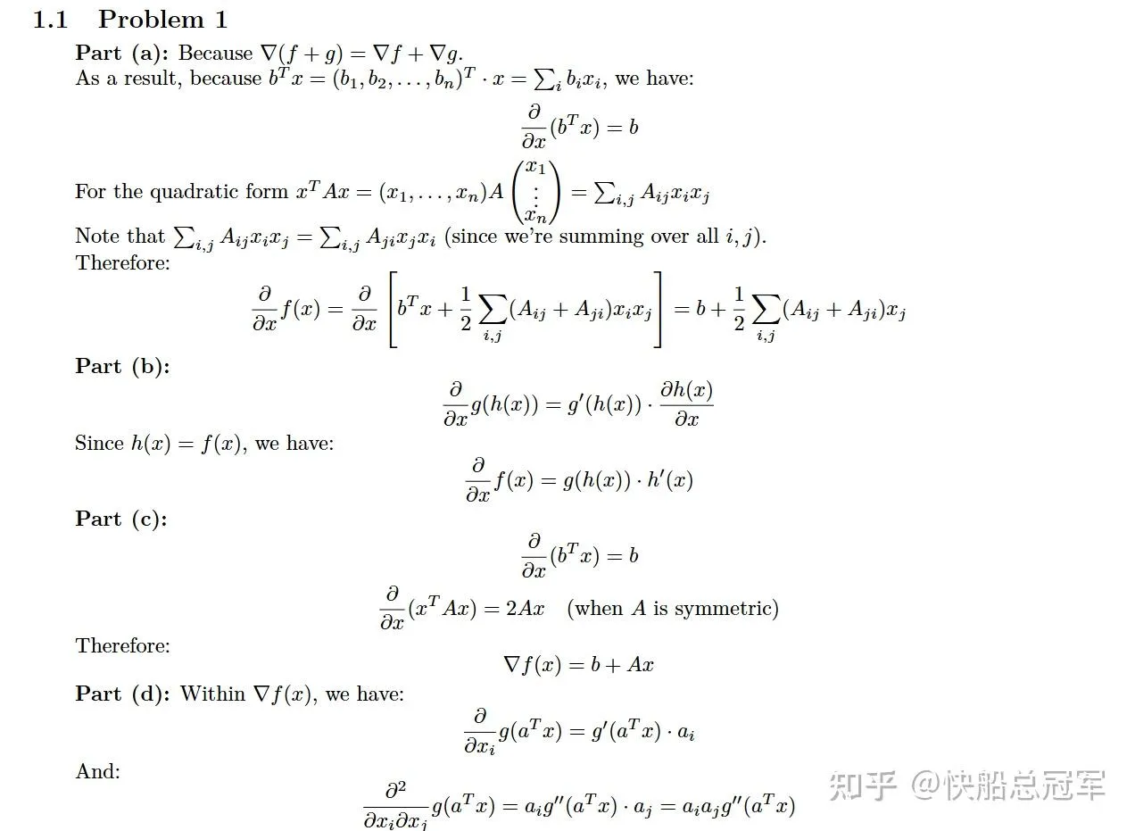
Problem 1
2.分析:
这道题目主要是练习矩阵求导的技巧,(a),(c)可以说是对于Linear Regression中的损失函数 J(θ)=21(y−θTx)T(y−θTx) 求导的一个证明,而对于(b),(d)是对于Logistic Regression的损失函数的一个证明,总结下来,对于矩阵求导(一般是对于一个向量)需要掌握以下:
对于 x=[x1,x2,x3,...xn]T 而言, f(x) 为 Rn→R 的函数,则
- 向量求导定义: ∂x∂f(x)=[∂x1∂f(x),∂x2∂f(x)...∂xn∂f(x)]T
- 分配律: ∂x∂f(x)g(x)=∂x∂f(x)g(x)+f(x)∂x∂g(x)
- 线性映射求导: ∂x∂aTx=∂x∂xTa=a (证明由定义易证)
由以上的定理(分配律+线性映射)可以得到以下的结论
- 结论1: ∂x∂aTxxTb=abTx+baTx
- 结论2: ∂x∂xTAx=Ax+ATx
以上是一些常见的结论,对于更多的关于矩阵求导的内容可以参考这篇文章
使用以上的结论就可以轻松解决Problem 1

Problem 1 answer(可能有错,欢迎指正)
problem 2#
Problem

problem
分析:
在机器学习中我们常常使用使用到正定矩阵 这个东西,像之后几个lecture中的GLM中常常使用的损失函数,以及在决策树中会使用到的损失函数,都和这个正定矩阵的性质有关。因此接下来我们来总结以下对于正定矩阵的性质。
- 正定矩阵定义:A为正定矩阵,若对于任意的 x=[x1,x2,x3,...xn]T ,有 xTAx>0 恒成立
⇔XTAX>0 ,其中 X 为任意的正交矩阵(使用一个正交变换,通过实二次型即可)
- 正定矩阵:正定矩阵的顺序主子式均大于0,特征值都是正的(证明见USTC线性代数的课件)
使用以上的性质,我们在分析任意的关于函数的凸性,或者求解损失函数的偏导 的相关性质(如对于Hessian矩阵的性质)使用正交变换将x向量转换成基向量,再使用正定矩阵的性质去分析。
从而我们可以轻松得到以下答案

Solution to problem 2
problem 3#
problem

problem
对于这个题目主要是对于正交矩阵 的性质进行了探讨。对于正交矩阵的最为重要的特点是他保内积,可以将一个欧式空间直接投影到欧式空间中,在training_input上来看就是将输入转换成了一组基的问题。
对于正交矩阵我们常用的特点有以下几个:
- 定义:对于A为正交矩阵,则有 ATA=I
- 性质1:A的特征值的模长都是1,而且对于复根组成的2*2的矩阵与别的实特征值可以组成一个Jordan标准型。
- 性质2 :对于B为一个对称矩阵,则B正交相似于一个对角矩阵。
PS0是为了之后的学习中的各种证明打下了一个比较坚实的基础,包括矩阵求导以及最为重要的两类特殊矩阵的性质。有了他们,之后完成PS1,PS2…就更加容易了。