终于终于到了最后一个problem set 啦!!!这一块主要是对于无监督学习的收尾以及强化学习的探讨,虽然我们调程序的时候,见到各种各样的维数不匹配仍然非常的头疼,但是以及有了非常大的改进,这一个problem set的实现结果最后也是非常的漂亮。
具体作业内容以及答案见下
Problem 1#
这道题目主要是用numpy实现了卷积神经网络,具体代码见下
主要难度在于反向传播的实现,对于pool层梯度的传播路径以及conv层的传播都是非常烦的,具体内容之后在cs230的文章中会详细说明
最后使用一个单层卷积层以及一个全连接层的网络,训练结果如下

Problem 2#
强化学习中,在最基本的MDP模型中,两个参数 π(a,s),R(a,s) 是需要我们训练以及模拟得到的,而实际情况中,训练情况与实际情况关系会较为复杂,导致 π0(a,s) 与 π0^(a,s) 差距可能较大,但于此同时R又会相对简单,为了评价 π1(a,s) 可能的效果,我们探究了使用过往的 π0(a,s),R(a,s) 去评判由(a,s)生成新的 π1(a,s),R(a,s) 如何减小误差
(a)(b)(c)中论证了当基于经验模型 π0(a,s) 去判断下一个动作时,只需要加上 π0^π1 的修正,实际的效果和根据 π1(a,s),R(a,s) 做出的决策的均值相同,数学上为
Es∼p(s)a∼π0(s,a)π0(s,a)π1(s,a)R(s,a)=Es∼p(s)a∼π1(s,a)R(s,a) ,从而将基于新模型进行判断转换为基于旧模型进行判断(
)
(d)则是考虑了对于经验上R(s,a)与实际上R(s,a)有差别的情况,此时我们考虑对于策略 π(s,a) 进行泰勒展开,有
Es∼p(s)a∼π0(s,a)((Ea′∼π1(s,a′)R^(s,a′))+π^0(s,a)π1(s,a)(R(s,a)−R^(s,a)))=Es∼p(s)a∼π1(s,a)R(s,a) 只要 R(s,a)=R(s,a)^,π0(s,a)=π0^(s,a) 中有一个成立就行。(双重稳健估计 )
从而我们发现,如果 π0 相对简单,或者是奖励机制简单,使用经验模型去预测就不会有系统误差。
Problem 3#
主要是对于PCA能反映出数据中的特征向量(数据空间中的若干个相互垂直的轴)的理论分析,比较的容易
Problem 4#
ICA中我们通过假设数据本身的分布,实现了对于若干个掺杂数据的分离,而我们当时只是说不能使用Gaussian作为原始分布,这里我们首先证明了这个是不可以的,最后通过假设数据分布为Laplace分布实现了5个数据的分离,实际操作效果下来非常不错。
Problem 5#
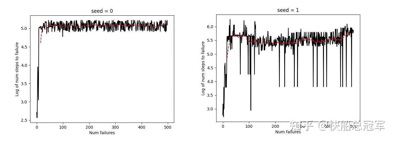
这道题目使用强化学习去实现了控制小车,使得小车上方的杆子不要倒下来的一个算法。
在本题中,我们的更新策略是将过往所做过决策以及产生的结果作为“随机实验”的结果,并用来更新 π,R
而对于每一步的策略的选取,我们通过使用Bellman方程去计算价值 V(a,s) ,并由此更新策略。
最后的结果如图,大概到了60个iteration就收敛了,也就是当杆子摔倒了60次之后终于可以做出比较正确的决策了。(还是有一点点慢的。)
